具体的には、D-最適計画は次のDを最大化します。
D-最適分割計画は次のDを最大化します。
Bayes流のD-最適化基準は、D-最適化基準を調整したもので、 影響している可能性のある交互作用や非線形効果がある場合に役立ちます。DuMouchel and Jones(1994)およびJones et al.(2008)を参照してください。
モデルパラメータに意味のある事前分布を適用するため、最適化基準の計算において、応答と因子が一定の性質を持つように尺度化されています(DuMouchel and Jones, 1994, Section 2.2)。
|
•
|
Xは、第 “応答のシミュレート”で定義されたモデル行列です。
|
|
•
|
Kは、次のような値を持つ対角行列です。
|
|
–
|
推定が「必須」の項について、k = 0
|
|
–
|
その他の「可能な場合のみ」の項について、k = 4
|
[可能な場合のみ]のパラメータベクトルに対する事前分布は、平均が0で、共分散行列が対角行列であり、かつ、その対角要素が1/k2である多変量正規分布です。ここで、k2は、対応するパラメータの事前分散の逆数になっています。
kのデフォルト値は、経験則によって決められています。[可能な場合のみ]の主効果、べき乗、自由度が1より大きい交互作用の事前分散は1です。その他の[可能な場合のみ]項の事前分散は1/16です。なお、DuMouchel and Jones(1994)における記法では、k = 1/τが使われています。
|
•
|
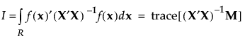
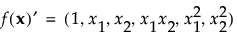
上の式で、Mはモーメント行列です。
第 “応答のシミュレート”を参照してください。詳細については、Goos and Jones(2011)を参照してください。
モーメント行列は、計画に依存せず、事前に計算できます。行ベクトルf (x)’は、1と、仮定したモデルに該当する効果から成ります。たとえば、2つの連続尺度の因子の2次モデル f (x)’は、次のように定義されます。
|
•
|
Xは、第 “応答のシミュレート”で定義されたモデル行列です。
|
|
•
|
Kは、次のような値を持つ対角行列です。
|
|
–
|
推定が「必須」の項について、k = 0
|
|
–
|
その他の「可能な場合のみ」の項について、k = 4
|
[可能な場合のみ]のパラメータベクトルに対する事前分布は、平均が0で、共分散行列が対角行列であり、かつ、その対角要素が1/k2である多変量正規分布です。(値kに関する詳細については、第 “Bayes流のD-最適化基準”を参照してください。)
x0における予測値の事後分散は、次の式で計算されます。
交絡最適化(alias optimality)は、仮定したモデルの効果と、モデルには含めていないものの影響している可能性のある効果との間にある交絡(別名関係; aliasing)を最小化します。後者の効果(モデルには含まれていないが影響している可能性のある効果)は、交絡項と呼ばれています。交絡最適計画の詳細については、Jones and Goos(2011b)を参照してください。
交絡行列(alias matrix)は、次のような行列Aで定義されます。
行列Aの要素の平方和は、バイアスに与える影響の全体的な大きさを表します。この平方和は、次のようなトレース(対角和)で表されます。
このトレースだけを最小化すると、一般に、D-最適計画よりD効率が低くなってしまいます。そこで、交絡最適計画では、D効率がある一定以上の値になるもののなかで、A’Aのトレースを最小化します。D-最適化基準の定義については、第 “最適化基準”を参照してください。交絡最適化におけるD効率の下限値は、[詳細オプション]で指定されるD効率の重みによって決まります。第 “[詳細オプション]>[D効率の重み]”を参照してください。










