「計画の診断統計量」アウトラインには、D効率・G効率・A効率、および平均予測分散が表示されます。これらの診断統計量は、変更が[困難]または[非常に困難]に設定されている因子、あるいは推定が[可能な場合のみ]に設定されている効果を含む計画については表示されません。
「計画の診断統計量」アウトラインは、「Design Experiment」フォルダにある「Bounce Data.jmp」データテーブルの「計画の診断統計量」アウトラインです。
図15.25 「計画の診断統計量」アウトライン
|
•
|
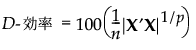
Xは、モデル行列
|
|
•
|
nは、計画の実験回数(標本サイズ)
|
|
•
|
pは、切片を含めたモデル項の数
|
|
•
|
相対的な予測分散は、予測分散を誤差分散で割った値です。計算について詳しくは、Goos and Jones(2011)の節4.3.5を参照してください。

は、点
における相対的な予測分散。
は、計画領域全体における相対的な予測分散の最大値



における、相対的な予測分散は次のように定義されます。