Space Filling計画(空間充填計画)は、計画領域全体に対して計画点を配置する計画です。この計画でも、線形制約を指定できます。この計画は、[実験計画(DOE)]>[特殊な目的]>[Space Filling計画]にある「高速柔軟充填」計画と同様の手法を使って作成されます(「高速柔軟充填計画」(606ページ))。
高速柔軟充填(FFF; Fast Flexible Filling)計画の場合、基準として[MaxPro](デフォルト)と[重心]のいずれかを選択できます。第 “FFF最適化基準”を参照してください。
|
1.
|
[実験計画(DOE)]>[古典的な計画]>[配合計画]を選択します。
|
|
4.
|
[続行]をクリックします。
|
|
5.
|
[線形制約]をクリックします。
|
|
6.
|
この設定により、0.7X1+X3が40%よりも大きい配合に制約されます。
|
7.
|
「実験回数」ボックスに「30」と入力します。
|
|
8.
|
[Space Filling]をクリックします。
|
|
9.
|
[テーブルの作成]をクリックします。
|
|
10.
|
計画のデータテーブルで、[グラフ]>[三角図]を選択します。
|
|
11.
|
図13.19 線形制約を1つ指定したSpace Filling計画
この計画は、重心FFF最適化基準を使って作成されます。各実験点は、制約条件を満たす領域内に収まっており、かつ、その領域全体に均等に散らばっています。三角図の詳細については、第 “三角図の概要”を参照してください。
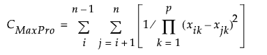
最後に、デフォルトの[MaxPro](最大投影法)またはオプションの[重心]を最適化基準として、最終的な計画点を求めます。これらのオプションは、レポートの赤い三角ボタンのメニューにある[FFF最適化基準]サブメニューに含まれています。
MaxPro基準では、すべての因子を考慮して、点間の距離の積を最大にしようとします。この基準を最適化すると、因子の射影に関して、空間充填の良い性質をもつようになります。Joseph et al.(2015)を参照してください。[Max Pro]オプションはデフォルトで選択されています。
メモ: 常に使用する最適化基準が決まっている場合は、環境設定で固定しておくことができます。それには、[ファイル]>[環境設定]>[プラットフォーム]>[実験計画(DOE)]を選択します。そして、[FFF最適化基準]を選択し、該当するオプションを選択します。
計画領域は、「線形制約」パネルで[線形制約]オプションを選択して限定できます。

