JMP 14.2オンラインマニュアル
はじめてのJMP
JMPの使用法
基本的な統計分析
グラフ機能
プロファイル機能
実験計画(DOE)
基本的な回帰モデル
予測モデルおよび発展的なモデル
多変量分析
品質と工程
信頼性/生存時間分析
消費者調査
スクリプトガイド
スクリプト構文リファレンス
JMP iPad Help (英語)
JMP Interactive HTML (英語)
機能インデックス
JMP統計機能ガイド
このバージョンのヘルプはこれ以降更新されません。最新のヘルプは
https://www.jmp.com/support/help/ja/15.2
からご覧いただけます。
実験計画(DOE)
•
検出力と標本サイズ
• [k標本平均]
前へ
•
次へ
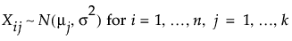
[k標本平均]
[k標本平均]は、2~10個の平均に対する仮説検定における標本サイズを求めます。標本サイズと検出力は、次のような帰無仮説に対するものです。
計算で想定されている検定は両側検定であり、対立仮説は次のとおりです。
この式で、