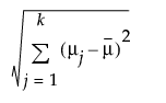
k標本平均の計算は、次のように行われます。
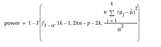
αは有意水準。
σは誤差の標準偏差(k群において同一と仮定)。
nはグループごとの標本サイズ。
pは追加パラメータの数。
は、想定されるk個の平均の平均。検出力を求めるときにはF分布の累積分布関数が使われていますが、nを求めるときには数値的なアルゴリズムが使われています。
JMPにおける計算についての詳細は、Barker(2011, Section 2.3)を参照してください。

