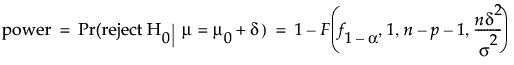
[1標本平均]の計算は、以下のような仮説検定に対する、従来の両側t検定に対するものです。
αは有意水準。
nは標本サイズ。
pは追加パラメータの個数。
δは検出する差。
JMPにおける計算についての詳細は、Barker(2011, Section 2.1)を参照してください。

