JMP 14.2オンラインマニュアル
はじめてのJMP
JMPの使用法
基本的な統計分析
グラフ機能
プロファイル機能
実験計画(DOE)
基本的な回帰モデル
予測モデルおよび発展的なモデル
多変量分析
品質と工程
信頼性/生存時間分析
消費者調査
スクリプトガイド
スクリプト構文リファレンス
JMP iPad Help (英語)
JMP Interactive HTML (英語)
機能インデックス
JMP統計機能ガイド
このバージョンのヘルプはこれ以降更新されません。最新のヘルプは
https://www.jmp.com/support/help/ja/15.2
からご覧いただけます。
実験計画(DOE)
•
「2水準スクリーニングのあてはめ」プラットフォーム
•
「2水準スクリーニングのあてはめ」プラットフォームの技術的詳細
• Lenthの擬似的標準誤差(PSE)
前へ
•
次へ
Lenthの擬似的標準誤差(PSE)
Lenthの方法(
1989
)は、
Lenthの擬似的標準誤差
(
PSE
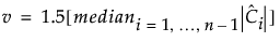
; Pseudo Standard Error)とも呼ばれ、応答に対して影響をもたない効果を使って残差の標準誤差を推定します。LenthのPSEでは、対比が互いに独立しており、分散が同じであるという前提において、実験の標準誤差を推定することができます。
この方法では、
n
行に対して
n
-
1
個の対比が作成されます。これらの対比を、
で表すとします。ここで、
i
=
1
, ... ,
n
-
1
です。
LenthのPSEを求めるには、まず、次の計算を行います。
LenthのPSEは、重要でなさそうな効果に基づき、次の式で求められます。
LenthのPSEは、「スクリーニング」レポートの下部に表示されます。