(応答変数の確率分布が指数型分布族であり、かつ推定法がLassoもしくは適応型Lassoである場合のみ計算される。)拡張正則化情報量規準(Extended Regularization Information Criterion):
。この式で、λは調整パラメータの値、φは撹乱パラメータ。Hui et al.(2015)を参照してください。
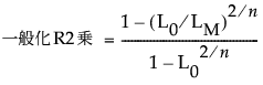
。この式で、λは調整パラメータの値、φは撹乱パラメータ。Hui et al.(2015)を参照してください。(分位点回帰では計算されません。)通常のR2乗を、回帰モデル全般で適用できるように拡張したもの。[一般化R2乗]は、あてはめたモデルの尤度(LM)を、切片だけのモデルの尤度(L0)と比べています。そして、最大値が1になるように尺度化されています。二項分布以外の分布では、[一般化R2乗]は次のように定義されます。
[一般化R2乗]は、あてはまりが完全な場合には1になります。[一般化R2乗]は、切片だけのモデルと同等な場合には0になります。一般化R2乗は、通常のR2乗(正規分布に従う連続尺度の応答変数に対する標準最小2乗法のR2乗)を一般化したものです。[一般化R2乗]は、「NagelkerkeのR2乗」や「Craig and UhlerのR2乗」などとも呼ばれます。「Cox and Snellの疑似R2乗」を正規化したものです。詳細は、Nagelkerke(1991)を参照してください。








