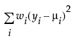
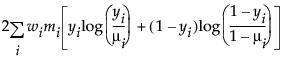
一般化線形モデルでも、説明変数の選択は重要です。該当する説明変数がどれだけモデルに貢献しているかは、通常、適合度統計量の変化量によって評価できます。デビアンスは、「データが到達可能な最大対数尤度」と「回帰パラメータの最尤推定値における対数尤度」の差に2を掛けたものです。デビアンスは、適合度の統計量としてよく使われます。到達可能な最大対数尤度は、データの1行ずつに1つのパラメータがあるモデルで達成されます。応答分布のデビアンスの計算式は、応答変数に対して使用できる分布のデビアンスの計算式をまとめたものです。
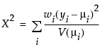
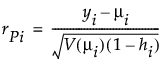
μiは対応する平均の予測値
なお、「一般化線形モデル」プラットフォームの逆推定の計算では、応答の分布として正規分布以外のものを指定した場合は、t分布ではなく、正規分布の分位点を用いています。
φは、過分散パラメータ
残差と一般化線形モデルの詳細は、『SAS/STAT 14.3 User’s Guide』(SAS Institute Inc. 2017, ch. 46)の「The GENMOD Procedure」を参照してください。








