|
•
|
X変数に関して反復がなく、純粋誤差の平方和を計算できない場合。
|
|
•
|
飽和モデルである場合。つまり、標本サイズと同じ数だけパラメータがある場合。この状況では、モデルがデータに完全にあてはまるので、あてはまりの悪さを評価できません。
|
モデルの誤差平方和から、純粋誤差平方和を引いたものを、あてはまりの悪さの平方和(LOF平方和)といいます。LOF平方和は、モデルが適切でないと、純粋誤差の平方和よりもかなり大きくなってしまうことがあります。たとえば、説明変数の関数が間違っていたり、交互作用効果が指定されていなかったりした場合です。
|
–
|
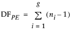
「純粋誤差」の自由度は、反復されている観測値の各グループにおける自由度を足し合わせた値です。すべての説明変数の値がまったく同じグループ(反復されている観測値のグループ)がg個があった場合、純粋誤差の自由度(DFPE)は、次式によって求められます。
|
|
–
|
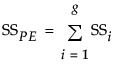
「純粋誤差」の平方和は、反復されている観測値の各グループにおける平方和を足し合わせものです。この平方和を自由度で割った値は、モデルに依存しない、誤差分散の推定値になります。すべての説明変数の値がまったく同じグループ(反復されている観測値のグループ)がg個があった場合、純粋誤差の自由度(SSPE)は、次式によって求められます。
|
要因の平均平方。平方和を自由度で割った値。「純粋誤差」の平均平方を基準にして、「あてはまりの悪さ(LOF)」の平均平方が相対的に大きくなっている場合、モデルがうまくあてはまっていないことを示します。検定統計量のF値を求めるために、これらの値が使われます。
「あてはまりの悪さ(LOF)」の平均平方を、「純粋誤差」の平均平方で割った比。F値は、「あてはまりが悪いことによる変動は、純粋誤差による変動と等しい」、言い換えると「あてはまりが悪くない」という帰無仮説を検定します。


