JMP 14.2オンラインマニュアル
はじめてのJMP
JMPの使用法
基本的な統計分析
グラフ機能
プロファイル機能
実験計画(DOE)
基本的な回帰モデル
予測モデルおよび発展的なモデル
多変量分析
品質と工程
信頼性/生存時間分析
消費者調査
スクリプトガイド
スクリプト構文リファレンス
JMP iPad Help (英語)
JMP Interactive HTML (英語)
機能インデックス
JMP統計機能ガイド
このバージョンのヘルプはこれ以降更新されません。最新のヘルプは
https://www.jmp.com/support/help/ja/15.2
からご覧いただけます。
基本的な回帰モデル
•
統計的詳細
• 度数
前へ
•
次へ
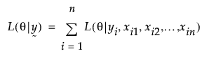
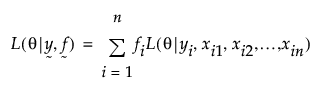
度数
度数の列を指定した場合、各行の度数は損失関数に影響します。なお、度数は必ずしも整数である必要はありません。応答
y
i
と説明変数
x
i1
、
x
i2
、...、
x
in
をデータとして、パラメータθを推定するとします。度数の列が指定されていない場合、損失関数は次式で定義されます。
各行の度数が
f
i
である場合、損失関数は次式で定義されます。
パラメータ推定値・標準誤差・仮説検定・信頼区間などの統計的推測は、上式によって定義される損失関数に基づいて行われます。