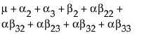
μはA = 1における応答の期待値、μ + α2はA = 2における期待値、μ + α2 + α3はA = 3における期待値です。つまり、α2はA = 1からA = 2へ移動したときの効果を推定したもので、α3はA = 2からA = 3へ移動したときの効果を推定したものです。
Aの主効果に対する検定では、Bが最初の水準であるときのAの違い(上表における第1列目)が検定されます。同じように、Bの主効果に対する検定では、Aが最初の水準であるときのBの違い(上表における第1行目)が検定されます。順序尺度に対するこのようなコード変換は、2つの因子が、異なる2剤の薬の用量であるときに適しています。そのような場合、分析の主目的は、それぞれの薬の効き目があるかどうかで、副次的な目的は、両方の薬が投与された場合に薬の相互作用があるかどうかでしょう。場合によっては、薬の量が多すぎると危険を招くことがあるためです。
前述のとおり、最小2乗平均は、他のすべての因子を何らかの中立な値に固定したときの、ある水準の組み合わせに対する予測値です。JMPでは、順序尺度の因子に対しては、中立な値として、第1水準(対照水準、ベースライン水準)を用います。
もう一度、前出の例を検討します。各セルに2つの観測値がありますが、A3B2のセルには観測値がありません。因子が名義尺度と順序尺度でコード変換されたときの結果を比べてみましょう。名義尺度(左)と順序尺度(右)の適合度統計量に示すように、モデル全体の適合度は同じです。
名義尺度の場合、Bの主効果に対する検定の自由度は少なくなり、 その検定は行われません。一方、順序尺度の場合、ベースラインである第1水準に欠測セルがないので、Bの主効果の自由度はそのままです。














