|
1´
|
||
PROC GLM;
CLASS A B;
MODEL A B A*B;
JMPの[モデルのあてはめ]コマンドで列Aと列Bの因子モデルを作成すると、次のような計画行列が作成されます。この行列のA13は前出の行列でのA1-A3に該当し、 また、A13B13はこの行列でのA13にB13を掛けたものです。
最小2乗平均は、他のすべての因子を何らかの中立な値に固定した状態で、水準の特定の組み合わせに対して予測した値です。連続尺度の説明変数に対しては、標本平均が中立な値として使用されます。名義尺度の因子に対しては、全水準にわたる平均が中立な値として使用されますが、これはJMPのコード変換では常にゼロです。順序尺度の因子には、別の中立な値が使用されます(第 “順序尺度の因子における最小2乗平均”)。最小2乗平均は推定できないことがあり、その場合は、推定不可能とマークされます。JMPの最小2乗平均は、重み付けされている場合を除き、SAS PROC GLM(Goodnight and Harvey 1978)と一致しています。重み変数が使用されている場合、JMPでは加重平均、SAS PROC GLMでは非加重平均を中立平均としています。
SAS PROC GLMでは、タイプIIIとIVの仮説検定を作成する際、推定可能な関数の一般式を使用し、分析対象である効果、およびそれらの効果に含まれる効果だけに関連する関数が見つけ出されます(Goodnight 1978)。
|
•
|
JMPは、Hocking(1985, pp. 80–89, 163–166)に説明のある有効仮説検定を採用しています。ただし、セル平均のパラメータ化ではなく、構造パラメータ化を採用しています。有効仮説検定は、その効果に望ましい仮説から始まり、検定の「できるだけ多く」の部分を含めていきます。もちろん、効果に欠測セルがある場合は、仮説全体を推定することができないので、一部を除外しなければなりません。有効仮説検定では、仮説全体のうち、除外する部分ができるだけ少なく抑えられます。
|
|
a1
|
||
|
a2
|
||
|
b1
|
||
|
ab11
|
||
|
ab21
|
|
4.
|
JMPの検定は完全な周辺検定(whole mariginal test)なので、交互作用内において比較できる効果がすべて検討されます。
|
図A.1 セル平均の期待値
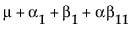
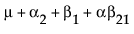
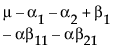
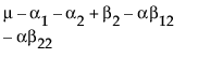
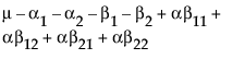
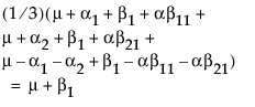
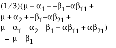
GLMとJMPの仮説の比較は、主効果AをGLMにおけるパラメータ化で検定したものです。第1の列セットはJMPの検定をGLMにおけるパラメータ化で検定したもの、 第2の列セットはGLMのタイプIVで行われる検定です。第3の列セットはJMPの検定のものですが、GLMの検定と比較できる形にするため、次の行列を掛け合わせてあります。




























