JMP 14.2オンラインマニュアル
はじめてのJMP
JMPの使用法
基本的な統計分析
グラフ機能
プロファイル機能
実験計画(DOE)
基本的な回帰モデル
予測モデルおよび発展的なモデル
多変量分析
品質と工程
信頼性/生存時間分析
消費者調査
スクリプトガイド
スクリプト構文リファレンス
JMP iPad Help (英語)
JMP Interactive HTML (英語)
機能インデックス
JMP統計機能ガイド
このバージョンのヘルプはこれ以降更新されません。最新のヘルプは
https://www.jmp.com/support/help/ja/15.2
からご覧いただけます。
基本的な回帰モデル
•
統計的詳細
•
応答モデル
• 順序尺度の応答
前へ
•
次へ
順序尺度の応答
応答(
Y
)が順序尺度の場合も、名義尺度のときと同じく、
r
個の応答水準のいずれかに応答がなる確率が使われます。
順序尺度のデータには、連続尺度のデータのように順序がありますが、 分析において考慮されるのは順序だけで、並んでいる水準の間隔や距離は考慮されません。応答が数値であるときに、値と値の間隔を考慮しない場合には、その応答の列には順序尺度を割り当ててください。また、「低い」、「中間」、「高い」など何らかの自然な順序に水準がならんでいる分類変数も、順序尺度と考えられます。
順序尺度の応答は、複数の平行なロジスティック曲線を累積確率にあてはめることにより、モデル化されます。どのロジスティック曲線も、傾きのパラメータは等しいですが、切片のパラメータは異なり、次のように書けます。
この式で
ここで、
r
は応答の水準数、
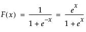
F(x)
は次のような標準ロジスティック累積分布関数です。
これを別の式で表現するには、連続量の潜在変数であるzを使います。
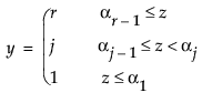
z
の値によって、応答の値が次のように決まるとします。
z
は、線形モデルと誤差の関数により決定される潜在変数で、次のように表されます。
ε
は、ロジスティック分布に従います。
このモデルは、順序尺度が持つ特性が考慮されています。名義尺度モデルよりパラメータがずっと少なくなり、計算も速く済みます。
順序ロジスティックモデルを理解するためのもう1つの(数学的には等価な)解釈は、名義尺度のモデルで、オッズ比の代わりに累積確率をモデル化したと考えてみることです。順序ロジスティックモデルでは、名義ロジスティックモデルのように最後の水準以外のすべての水準に関数をあてはめるのではなく、関数を1つだけあてはめ、それをスライドさせて応答の各累積確率にあてはめます。
応答が順序尺度のときの推定方法
順序尺度の応答に対するモデルでは、名義尺度の応答と同じく、最尤法によるあてはめが行われます。最尤法では、データ値によって与えられた応答すべての結合確率が、モデルで得られる最大値になるよう、パラメータが推定されます。名義尺度の応答に対するあてはめに比べると、反復計算が速く、メモリの消費も少なくて済みます。
基本モデル
順序尺度の応答の基本モデルは、名義尺度と同じく、「各応答水準が生じる確率が、データ全体において一定であるモデル」です。