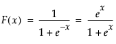
ここで、F(x)は次の標準ロジスティック分布の累積分布関数です。
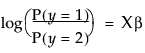
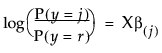
応答の水準数をrとした場合、r個の応答水準のいずれかに応答がなる確率が使われます。確率の推定値はすべて正です。X変数がどのような値でも、応答水準すべてにわたって確率の推定値を合計すると1になります。確率の予測に使われる関数は、線形モデルとロジスティック関数を組み合わせたものです。これは、ロジット(確率の比の対数)を取ると線形モデルになることから、ロジットモデルともいいます。JMPでは、それぞれの水準が生じる確率と、r番目の確率(最後の水準が生じる確率)からロジットを計算し、r-1個のロジットに対してモデルを別々にあてはめます。
応答が名義尺度の場合には、最尤法と呼ばれる原理が使用されます。最尤法では、データ値によって与えられた応答すべての結合確率が、モデルで得られる最大値になるよう、パラメータが推定されます。扱いやすさを考えて、結合確率(尤度)そのものではなく、尤度の対数の符号を逆にし、合計したものがレポートされます。
不確定性(負の対数尤度、符号を逆にした対数尤度)は、得られたデータが生じる確率をモデルに基づき計算し、その対数を取って符号を逆にし、合計したものです。これはHと呼ばれるのが普通で、標本サイズをnとすると次のように表されます。
名義モデルをあてはめる際、特に応答の水準がたくさんあると、かなりの時間とメモリが必要になります。JMPでは、進行状況を示す反復の履歴が作成されます。反復の履歴を見ると、「(-1)*対数尤度」(負の対数尤度)の値が徐々に小さくなり、収束していっていることがわかります。
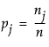
応答が名義尺度の場合、最も基本となるモデルは、「各応答水準が生じる確率が、データ全体において一定であるモデル」です。この基本モデルでは、Yが応答水準jである確率が、「標本のすべての度数nで、各応答水準の度数njを割ったもの」として推定されます。この確率は次のように計算されます。
R2統計量は、不確定性のうちモデルで説明されている部分を表し、次の式で計算されます。



この式で 


