JMP 14.2オンラインマニュアル
はじめてのJMP
JMPの使用法
基本的な統計分析
グラフ機能
プロファイル機能
実験計画(DOE)
基本的な回帰モデル
予測モデルおよび発展的なモデル
多変量分析
品質と工程
信頼性/生存時間分析
消費者調査
スクリプトガイド
スクリプト構文リファレンス
JMP iPad Help (英語)
JMP Interactive HTML (英語)
機能インデックス
JMP統計機能ガイド
このバージョンのヘルプはこれ以降更新されません。最新のヘルプは
https://www.jmp.com/support/help/ja/15.2
からご覧いただけます。
多変量分析
•
多変量の相関
•
計算方法と統計的詳細
• 推定法について
前へ
•
次へ
推定法について
REML
データに欠測値がある場合、REML法(制限最尤法)は、最尤法に比べて、推定値のバイアスが小さいのが特徴です。REML法は、誤差対比(error contrast)から導出された周辺尤度を最大化する推定方法です。REML法は、分散および共分散を推定するのによく使われます。[多変量の相関]の[REML]は、反復測定データの相関構造に無構造(unstructured)を仮定した混合モデルのREML推定と同じです。混合モデルについては、SASシステムのPROC MIXEDに関するドキュメントを参照してください。
ロバストな推定法
この手法では、外れ値に対して小さな重みを与えることで、外れ値が実質的に無視されます。推定において、次式により重みを反復的に計算します。
Q
<
K
の場合は
w
i
= 1.0、そうでない場合は
w
i
=
K/Q
ここで、
K
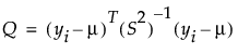
は、データの列数を自由度としたカイ2乗分布の75%点です。また、Qは次式により計算されます。
ここで、
y
i
は
i
行目のデータ、
μ
は平均ベクトルの現在の推定値、
S
2
は共分散行列の現在の推定値です。また、
T
は行列の転置を意味します。なお、各反復の最後において、分散共分散行列の推定値が不偏になるように調整が行われます。
ロバスト推定は、データに外れ値があまりない場合には、通常の推定方法に比べ、推定値のばらつきが大きくなります。しかし、データに外れ値がある場合には、通常の方法に比べて、精度が高い推定値が得られます。