JMP 14.2オンラインマニュアル
はじめてのJMP
JMPの使用法
基本的な統計分析
グラフ機能
プロファイル機能
実験計画(DOE)
基本的な回帰モデル
予測モデルおよび発展的なモデル
多変量分析
品質と工程
信頼性/生存時間分析
消費者調査
スクリプトガイド
スクリプト構文リファレンス
JMP iPad Help (英語)
JMP Interactive HTML (英語)
機能インデックス
JMP統計機能ガイド
このバージョンのヘルプはこれ以降更新されません。最新のヘルプは
https://www.jmp.com/support/help/ja/15.2
からご覧いただけます。
多変量分析
•
多変量の相関
•
計算方法と統計的詳細
• Pearsonの積率相関係数
前へ
•
次へ
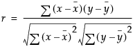
Pearsonの積率相関係数
Pearsonの積率相関係数は、二変量間の線形関係の強さを表します。応答変数を
X
と
Y
としたとき、この相関係数
r
は、次のように計算されます。
二変量間に完全な線形関係がある場合、相関係数は1(正の相関)または-1(負の相関)になり、線形関係がない場合は、0に近くなります。