Spearmanの順位相関係数(ρ)は、前述したPearsonの相関係数の計算式に、データの順位を代入して計算されます。
Kendallの順位相関係数(τb)は、大小関係の一致したペアと一致しないペアの数に基づいて計算されます。データから行のペアを取り出し、大小関係が両方の変数で一致しているとき、そのペアは一致している(concordant)といいます。大小関係が一致しているペア、一致しないペア、および、同順位のペアの個数から計算は行われます。
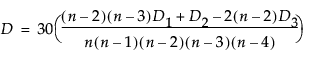
Kendallの順位相関係数(τb)は、次式により求められます。
|
•
|
|
•
|
nは全体の標本サイズです。
|
|
•
|
|
•
|
|
•
|
|
•
|
|
•
|
オブザベーションの中に同順位がない場合、D統計量の値は-0.5~1で、1の値は完全な従属を示します。重み変数は、指定してあっても無視されます。



