Ȳは平均ベクトル
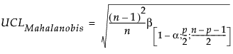
Mahalanobisの距離プロットに表示された上側管理限界の参照線(Mason and Young 2002)は、以下のように計算されます。
n = 標本サイズ
p = 変数(列)の数
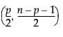
=
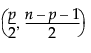
をパラメータとするベータ分布の(1–α)分位点n = 標本サイズ
p = 変数(列)の数
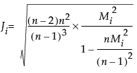
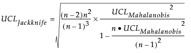
ジャックナイフ法による距離プロットに表示された上側管理限界の参照線(Penny, 1996)は、次のように計算されます。
T2距離の計算
T2の上側管理限界の計算式は次のとおりです。
n = 標本サイズ
p = 変数(列)の数
=
をパラメータとするベータ分布の(1–α)分位点



