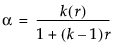
Cronbachのα係数
Cronbachのα係数は、次の式で定義されています。
k = 測定に使われている項目の数
c = 項目間の共分散の平均値
v = 項目間の分散の平均値
rは、項目間の相関の平均値です。
全体のα係数が大きければ、その項目から作られる尺度やテストの信頼性が高いことを示唆しています。強い相関関係にある項目が多いと、α係数は1.0に近くなります。

ここで