JMP 14.2オンラインマニュアル
はじめてのJMP
JMPの使用法
基本的な統計分析
グラフ機能
プロファイル機能
実験計画(DOE)
基本的な回帰モデル
予測モデルおよび発展的なモデル
多変量分析
品質と工程
信頼性/生存時間分析
消費者調査
スクリプトガイド
スクリプト構文リファレンス
JMP iPad Help (英語)
JMP Interactive HTML (英語)
機能インデックス
JMP統計機能ガイド
このバージョンのヘルプはこれ以降更新されません。最新のヘルプは
https://www.jmp.com/support/help/ja/15.2
からご覧いただけます。
多変量分析
•
多次元尺度構成
•
「多次元尺度構成」プラットフォームの統計的詳細
• ストレス
前へ
•
次へ
ストレス
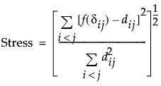
ストレスの定義では、次のような表記が使用されます。
•
i、j - 対象に対する添え字
•
d
ij
- 対象iと対象jとの類似度の予測値
δ
ij
- 対象iと対象jとの間の相対距離の観測値
•
- 類似度を変換する関数
ストレス関数の計算式は次のとおりです。
この測度は、Kruskalのストレス、タイプI、ストレスIとも呼ばれます。