JMP 14.2オンラインマニュアル
はじめてのJMP
JMPの使用法
基本的な統計分析
グラフ機能
プロファイル機能
実験計画(DOE)
基本的な回帰モデル
予測モデルおよび発展的なモデル
多変量分析
品質と工程
信頼性/生存時間分析
消費者調査
スクリプトガイド
スクリプト構文リファレンス
JMP iPad Help (英語)
JMP Interactive HTML (英語)
機能インデックス
JMP統計機能ガイド
このバージョンのヘルプはこれ以降更新されません。最新のヘルプは
https://www.jmp.com/support/help/ja/15.2
からご覧いただけます。
多変量分析
•
多次元尺度構成
•
「多次元尺度構成」プラットフォームの統計的詳細
• 属性の元データ
前へ
•
次へ
属性の元データ
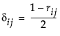
データテーブルの形式が[属性の元データ]である場合、データをまず距離行列に変換してから多次元尺度構成を適用します。なお、変数間の類似性は、データが標準化されている場合、それらの変数間の相関係数から定義してもよいでしょう。
たとえば、類似性を次のように定義することも考えられます。
メモ:
多次元尺度構成プラットフォームの別例については、
「San Francisco Crime Distances.jmp」
サンプルデータテーブルの「ソース」スクリプトも参照してください。この「ソース」スクリプトは、独自の方法により距離行列を算出しています。