JMP 14.2オンラインマニュアル
はじめてのJMP
JMPの使用法
基本的な統計分析
グラフ機能
プロファイル機能
実験計画(DOE)
基本的な回帰モデル
予測モデルおよび発展的なモデル
多変量分析
品質と工程
信頼性/生存時間分析
消費者調査
スクリプトガイド
スクリプト構文リファレンス
JMP iPad Help (英語)
JMP Interactive HTML (英語)
機能インデックス
JMP統計機能ガイド
このバージョンのヘルプはこれ以降更新されません。最新のヘルプは
https://www.jmp.com/support/help/ja/15.2
からご覧いただけます。
多変量分析
•
主成分分析
•
「主成分分析」プラットフォームの統計的詳細
• 外れ値分析の計算
前へ
•
次へ
外れ値分析の計算
次の表記を使用します。
n
= 行数(標本サイズ)
A =
主成分の個数
X
ci
=i
番目の行を標準化したデータ
T
2
i
番目の行に対する
T
2
値は次のような式で表されます。
ここで
P
A
は最初から
A
次元までの固有ベクトル、
L
は最初から
A
次元までの固有値を対角要素にもつ行列です。
T
2
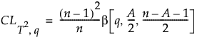
プロットの中央値と上側管理限界(UCL)は、次のように計算します。
ここで
中央値の計算には、
q =
0.5を使用します。UCLの計算には、
q =
(1 -
α
)を使用します。
寄与度
i
番目の行における
T
2
に対する寄与度は、次のような式で表されます。
メモ:
各行に関して、これらの寄与度の2乗和は、その行の
T
i
2
に等しくなります。