JMP 14.2オンラインマニュアル
はじめてのJMP
JMPの使用法
基本的な統計分析
グラフ機能
プロファイル機能
実験計画(DOE)
基本的な回帰モデル
予測モデルおよび発展的なモデル
多変量分析
品質と工程
信頼性/生存時間分析
消費者調査
スクリプトガイド
スクリプト構文リファレンス
JMP iPad Help (英語)
JMP Interactive HTML (英語)
機能インデックス
JMP統計機能ガイド
このバージョンのヘルプはこれ以降更新されません。最新のヘルプは
https://www.jmp.com/support/help/ja/15.2
からご覧いただけます。
多変量分析
•
主成分分析
•
「主成分分析」プラットフォームの統計的詳細
• DModXの計算方法
前へ
•
次へ
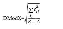
DModXの計算方法
DModXは、主成分モデルまでの距離で、次のように定義されます。
ここで
大きなDModXの値は、極端な外れ値ではないかもしれないですが、中程度の外れ値になっていることを示唆しています。