JMP 14.2オンラインマニュアル
はじめてのJMP
JMPの使用法
基本的な統計分析
グラフ機能
プロファイル機能
実験計画(DOE)
基本的な回帰モデル
予測モデルおよび発展的なモデル
多変量分析
品質と工程
信頼性/生存時間分析
消費者調査
スクリプトガイド
スクリプト構文リファレンス
JMP iPad Help (英語)
JMP Interactive HTML (英語)
機能インデックス
JMP統計機能ガイド
このバージョンのヘルプはこれ以降更新されません。最新のヘルプは
https://www.jmp.com/support/help/ja/15.2
からご覧いただけます。
プロファイル機能
•
プロファイル
•
「予測プロファイル」の統計的詳細
• 誤差伝播の法則による区間
前へ
•
次へ
誤差伝播の法則による区間
誤差の伝播(POE: Propagation Of Error)は、因子をあまり正確に制御できないような状況において、因子におけるばらつき(変動)によって、応答の値もばらついてしまう状態を指します。
JMPのプロファイルは、まず因子と応答変数の列に「Sigma」列プロパティがあるかどうかを調べます。「Sigma」列プロパティは、列の標準偏差(シグマ)を指定するためのプロパティで、[列]>[列情報]をクリックすると表示されます。「Sigma」の列プロパティが存在する場合は、[予測プロファイル]ドロップダウンメニューの[誤差伝播の法則による区間]コマンドが選択可能になります。このコマンドを選択すると、因子のばらつきから推定される応答の3
σ
区間が表示されます。
図3.36
予測プロファイルに緑色で表示された誤差伝播の法則による区間
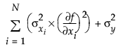
POEはグラフ内に緑色の線で表示されます。この線は、「POE分散」の平方根を3倍したものを予測値にプラスマイナスした範囲を示します。「POE分散」は、次式により計算されます。
ここで、σ
y
は応答列に対してユーザが指定したシグマ、σ
x
は因子列に対してユーザが指定したシグマです。
これらの偏微分は、次の数値微分によって計算されます。
δ
として「Xの範囲÷10000」を用いた中心差分
POEの区間は、応答曲面の傾きが大きい部分では広くなります。因子のばらつきに対してロバスト(頑健)にするには、応答曲面が平らになっている場所を探し出し、因子のばらつきが応答に与える影響を最小限に抑えなければいけません。