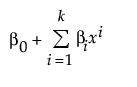
「曲線のあてはめ」のモデル計算式に、「曲線のあてはめ」の赤い三角ボタンのメニューで用意されているモデルの式を示します。
|
kは多項式の次数です。これらのモデルは、「モデルのあてはめ」プラットフォームや「二変量の関係」プラットフォームでもあてはめることができます。
|
|
|
a = 増加率
b = 変曲点
|
|
|
a = 増加率
b = 変曲点
c = 漸近線
|
|
|
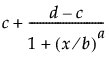
a = 増加率
b = 変曲点
c = 下側漸近線
d = 上側漸近線
|
|
|
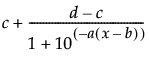
a = 増加率
b = 変曲点
c = 下側漸近線
d = 上側漸近線
|
|
|
a = 増加率
b = 変曲点
c = 下側漸近線
d = 上側漸近線
|
|
|
a = 増加率
b = 変曲点
c = 漸近線1
d = 漸近線2
f = べき乗
|
|
|
a = 増加率
b = 変曲点
Φ = 正規分布累積確率プロット
|
|
|
a = 増加率
b = 変曲点
c = 漸近線1
d = 漸近線2
Φ = 正規分布累積確率プロット
|
|
|
a = 漸近線
b = 増加率
c = 変曲点
|
|
|
a = 下側漸近線
b = 上側漸近線
c = 増加率
d = 変曲点
|
|
|
a = 上方漸近線
b = 増加率
c = 変曲点
|
|
|
a = スケール
b = 増加率
|
|
|
a = 漸近線
b = スケール
c = 増加率
|
|
|
a = スケール1
b = 減衰率1
c = スケール2
d = 減衰率2
|
|
|
a = 漸近線
b = スケール1
c = 減衰率1
d = スケール2
f = 減衰率2
|
|
|
a = 漸近線
b = スケール
c = 増加率
|
|
|
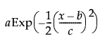
a = ピーク値
b = 臨界点
c = 増加率
|
|
|
a = ピーク値
b = 増加率
c = 臨界点
|
|
|
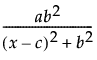
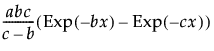
a = AUC(曲線下面積)
b = 消失速度
c = 吸収速度
|
|
|
α =
![]() β =
![]() a = 初期濃度
b = 移行速度 流入
c = 移行速度 流出
d = 消失速度
|
|
|
a = 最大反応速度
b = 解離定数
|















































