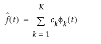
「関数データエクスプローラ」プラットフォームで用意されているモデルあてはめは、基底関数の拡張に依存しています。基底関数は、独立関数の集まりです。任意の関数f(t)は、φkで表されるK基底関数の線形結合で近似することができます。一般的に、関数は次のように近似することができます。
ここで、ckパラメータは、基底の係数です。どの程度平滑化するかは、基底関数の数Kで決まります。基底関数の拡張法の詳細については、Ramsay and Silverman(2005)を参照してください。
k = 1,..., K に対するFourier基底関数は、φ0 = 1, φ2k-1 = sin(rωt), φ2k = cos(rωt)と定義されます。この基底関数によるモデル式は次のようになります。
この式の最大周期Aは、A = 2π/ωとなっています。このモデル式の係数は、固定効果に対する係数(固定係数)と、変量効果に対する係数(ランダム係数)を足し合わせたものになっています。つまり、各cは次のように定義されています。
ここで、βkは基底関数kに対する固定係数で、αikは、第i番目の関数における基底関数kに対するランダム係数です。Fourier基底モデルにおけるβkおよびαikの推定値は、それぞれ「基底関数係数」レポートと、「ランダム係数」レポートに表示されます。
Fourier基底モデルには、切片項が1つと、同数の余弦項および正弦項があります。以下、これらを「Fourierペア」と呼びます。切片項とFourierペアからモデルは構成されるので、Kは常に奇数です。たとえば、切片項が1つとFourierペアが3つだと、K = 7となります。




