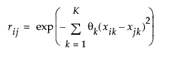
Gauss相関構造は、距離に対するべき乗を2とした、積-指数(product exponential)型の関数で表されます。Gauss過程モデルでは、Yが平均μで、共分散行列σ2Rの正規分布に従うと仮定されます。Gauss相関構造においては、R行列の各要素が次のように定義されます。
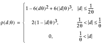
詳細については、Santer(2003)を参照してください。三次相関構造で使用されるθパラメータは、文献で使用されているパラメータの逆数です。逆数を使えば、θがモデルに影響を与えない場合のρの値が無限でなく0になるためです。







