JMP 14.2オンラインマニュアル
はじめてのJMP
JMPの使用法
基本的な統計分析
グラフ機能
プロファイル機能
実験計画(DOE)
基本的な回帰モデル
予測モデルおよび発展的なモデル
多変量分析
品質と工程
信頼性/生存時間分析
消費者調査
スクリプトガイド
スクリプト構文リファレンス
JMP iPad Help (英語)
JMP Interactive HTML (英語)
機能インデックス
JMP統計機能ガイド
このバージョンのヘルプはこれ以降更新されません。最新のヘルプは
https://www.jmp.com/support/help/ja/15.2
からご覧いただけます。
予測モデルおよび発展的なモデル
•
Gauss過程
•
「Gauss過程」プラットフォームの統計的詳細
• 分散計算式のパラメータ化
前へ
•
次へ
分散計算式のパラメータ化
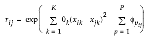
カテゴリカルな説明変数が含まれていない場合は、保存される分散計算式は、前々節で説明した
R
の計算式が使用されます。カテゴリカルな説明変数が含まれる場合、
R
の各要素を求めるのに、次の計算式が使われます。
この式において、
です。その他の変数は前に定義したとおりです。