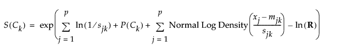
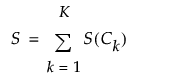
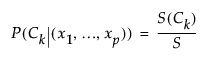
この節では、[確率の計算式の保存]オプションで保存される計算式について説明します。説明変数がx1, x2, …, xp であるデータ行が、クラスCkに属する条件付き確率(事後確率)の計算式は、第 “計算方法”節で示されるP(Ck|(x1,..., xp))とは少し異なっています。計算式が、効率的に計算を行うために少し変形されています。
の「単純予測式」の計算式は、該当のデータ行を事後確率P(Ck|(x1,..., xp)) が最大となっているクラスに分類するものです。事後確率が最大となっているクラスは、「単純 スコア」が最大となっているクラスに相当します。



