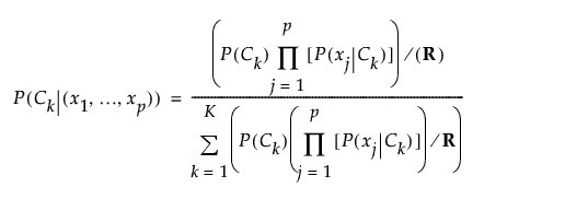
単純Bayes法は、特徴値に基づいて、所属する事後確率が最大となっているクラスに各データ行を分類します。単純Bayes法は、「ある1つのクラスで条件付けたときに、各特徴が独立である」と仮定しています。
|
•
|
Xjがカテゴリカルの場合:
|
|
•
|
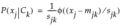
Xjが連続尺度の場合:
|
メモ: P(Ck)の計算式において、0.5はバイアス定数です。0.5がデフォルト値になっています。このデフォルト値を変更したい場合には、[ファイル]>[環境設定]>[プラットフォーム]>[単純Bayes]と進んで[事前のバイアス]チェックボックスを選択し、数値を変更してください。




