Fisherのκ統計量
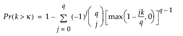
Fisherのカッパ(κ)統計量は、「時系列データが独立で同一の正規分布から取り出されたものである」とする帰無仮説を、「時系列に何らかの周期がある」とする対立仮説に照らし合わせて検定するときに使います。κはピリオドグラムの最大値であるI(fi)とその平均値の比です。
κは、現在のデータにおける、κの実現値です。
この確率が有意水準αより小さいとき、帰無仮説は棄却されます。


を超える場合は、時系列が独立で同一な正規分布から取り出されたとする仮説が棄却されます。