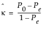
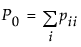
2つの応答変数を、n個の部品に対する2つの独立した判定であると考えたとき、判定者どうしの判定が完全に一致するとカッパ係数が1になります。観測された一致性が偶然による一致性を上回るとカッパ係数が正の値になり、数値の大きさが一致性の高さを表します。実際にはほとんどあり得ないケースですが、観測された一致性が偶然による一致性を下回ると、カッパが負になります。カッパ係数の最小値は、周辺度数に応じて-1から0までの間の値を取ります。
|
•
|
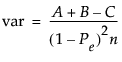
n = 部品の数(グループ変数がもつ水準の数)
|
|
•
|
m = 判定者の数
|
|
•
|
k = 水準の数
|
|
•
|
|
•
|
Ni = m x ri。部品i (i = 1,2,...,n)の判定回数。これには、判定者全員を表す応答と、部品ごとの繰り返しの判定も含まれます。たとえば、部品iが2人の判定者により3回判定された場合、Niは3 x 2 = 6となります。
|
|
•
|









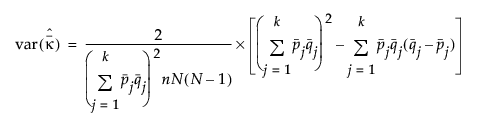
と
の分散は、次の式で計算されます。

および
の標準誤差が表示されます。