|
•
|
n = 部品の数(グループ変数がもつ水準の数)
|
|
•
|
|
•
|
m = 判定者の数
|
|
•
|
k = 水準の数
|
|
•
|
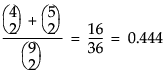
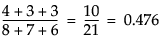
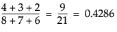
Ni = m x ri。部品i (i = 1,...,n)の判定回数。これには、判定者全員を表す応答と、部品ごとの繰り返しの判定も含まれます。たとえば、部品iが3人の判定者により3回判定された場合、Niは3 x 3 = 9となります。
|




