JMP 14.2オンラインマニュアル
はじめてのJMP
JMPの使用法
基本的な統計分析
グラフ機能
プロファイル機能
実験計画(DOE)
基本的な回帰モデル
予測モデルおよび発展的なモデル
多変量分析
品質と工程
信頼性/生存時間分析
消費者調査
スクリプトガイド
スクリプト構文リファレンス
JMP iPad Help (英語)
JMP Interactive HTML (英語)
機能インデックス
JMP統計機能ガイド
このバージョンのヘルプはこれ以降更新されません。最新のヘルプは
https://www.jmp.com/support/help/ja/15.2
からご覧いただけます。
品質と工程
•
CUSUM(累積和)管理図
•
「CUSUM(累積和)管理図」プラットフォームの統計的詳細
• CUSUM管理図の統計的詳細
前へ
•
次へ
CUSUM管理図の統計的詳細
このセクションでは、CUSUM管理図の作成に使用される統計量を定義します。これらの統計量の一部は、[要約の保存]コマンドで作成されたデータテーブルにも保存されます。
片側累積和
C
+
および
C
-
の定義は、[データ単位]オプションの設定により異なります。
メモ:
「要約の保存」データテーブルでは、
C
+
および
C
-
は、それぞれ
「上側累積和」
および
「下側累積和」
という列名になっています。
標準化された単位での累積和
[データ単位]オプションが選択されていない場合、
C
+
および
C
-
は次のように定義されます。
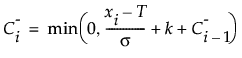
ここで
x
i
は、
i
番目の時点での工程変数
T
は工程変数の目標値
σ
は工程変数の標準偏差
k
は、標準偏差の単位で表した参照値
開始値が指定されていると、その値が
C
+
の初期値として使用され、その値の符号を逆にしたものが
C
-
の初期値として使用されます。それ以外の場合、
C
+
および
C
-
の初期値はゼロです。
データ単位の累積和
[データ単位]オプションが選択されている場合、それぞれのステップの
C
+
および
C
-
は次のように定義されます。
ここで
x
i
は
i
番目の時点での工程変数
T
は工程変数の目標値
σ
は工程変数の標準偏差
K
は、データ単位で表した参照値
開始値が指定されていると、その値が
C
+
の初期値として使用され、その値の符号を逆にしたものが
C
-
の初期値として使用されます。それ以外の場合、
C
+
および
C
-
の初期値はゼロです。
正または負の連のカウンタ
N
+
は、直近のゼロ値から、
C
+
がどれだけゼロでないかを数えたものです。
N
-
は、直近のゼロ値から、
C
-
がどれだけゼロでないかを数えたものです。
メモ:
「要約の保存」データテーブルでは、
N
+
および
N
-
は、それぞれ
「正の連」
、
「負の連」
という列名になっています。