LSL = 下側仕様限界
USL = 上側仕様限界
T = 目標値
群内シグマの工程能力では、ユーザが指定したサブグループ分けの方法を使って、σが推定されます。全体シグマの工程能力では、標本の標準偏差を使ってσが推定されます。どちらか一方の仕様限界しか指定していない場合、指定されていない仕様限界のほうの工程能力指数は欠測値となります。
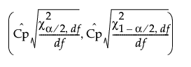
Cpの100(1 - α)%信頼区間は、次のように計算されます。
dfは、自由度
Nは、標本サイズ(観測値の個数)
全体シグマの工程能力指数においては、自由度はN - 1です。
バランスのとれたサブグループから計算される群内シグマの工程能力については、自由度の計算は群内シグマの推定法に依存しています。標準偏差の不偏推定値の平均で群内シグマを推定するとき、N - mに0.875~1の定数が掛けられます。Bissell(1990)を参照してください。群内シグマが範囲の平均で推定されるとき、サブグループの標本サイズに基づく式を使用して自由度は計算されます。David(1951)を参照してください。
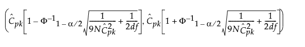
Cpkの100(1 - α)%信頼区間は、次のように計算されます。
は、(1 - α/2)番目の標準正規分布の分位点Nは、標本サイズ(観測値の個数)
dfは、自由度
全体シグマ工程能力について、自由度はN - 1です。
バランスのとれたサブグループから計算される群内シグマの工程能力については、自由度の計算は群内シグマ推定法に依存しています。標準偏差の不偏推定値の平均で群内シグマを推定するとき、N - mに0.875~1の定数が掛けられます。Bissell(1990)を参照してください。群内シグマが範囲の平均で推定されるとき、サブグループの標本サイズに基づく式を使用して自由度は計算されます。David(1951)を参照してください。
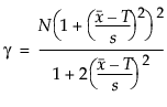
Cpmの100(1 - α)%信頼区間は、次のように計算されます。
Nは、標本サイズ(観測値の個数)
Tは、目標値
sは、シグマの推定値
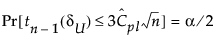
CplおよびCpuの上側信頼限界と下側信頼限界は、Chou et al.(1990)の方法を使用して計算されます。






は、Cpの推定値
は、自由度
は、Cpkの推定値
は、Cpmの推定値
は、自由度
は、標本平均
ここで 
ここで 
は、Cplの推定値
ここで 
ここで 
はCpuの推定値