LSL = 下側仕様限界
USL = 上側仕様限界
T = 目標値
パーセント点法は、標準的な工程能力指数の計算式における平均を、あてはめた分布の中央値(メディアン)に置き換えます。また、6σの範囲を、それに対応するパーセント点の範囲に置き換えます。この手法は、AIAG(2005)で取り上げられています。
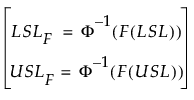
ここで、工程には下側仕様限界(LSL)と上側仕様限界(USL)が指定されており、その非正規分布の分布関数をFとします。標準正規分布のスケールに変換した仕様限界を次のように定義します。
メモ: 優れた工程のデータでは、F(LSL)またはF(USL)がそれぞれ0または1に近くなり、LSLFまたはUSLFが計算できない場合があります。このような場合、JMPはデフォルトで自動的にZ-スコア方法からパーセント点方法に切り替えます。これにより、工程能力指数はより意味のあるものになります。このデフォルト設定をオフにするには、[ファイル]>[環境設定]>[プラットフォーム]>[工程能力]を選択します。









