この節では、「工程能力分析」プラットフォームでサポートされている確率分布の確率密度関数fを紹介します。また、Johnson分布を除くすべての分布の期待値と分散も紹介します。
,
,
, σ > 0
, x > 0,
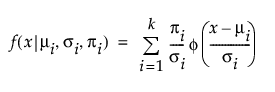
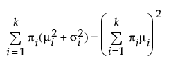
, σ > 0ここで、μi, σi, πiは、i番目のグループのそれぞれ平均・標準偏差・割合であり、
は、標準正規分布の確率密度関数です。二重正規混合分布では、kは2です。三重正規混合分布では、kは3です。各正規分布の平均と標準偏差、および、全体に対する割合を推定します。
は、標準正規分布の確率密度関数です。二重正規混合分布では、kは2です。三重正規混合分布では、kは3です。各正規分布の平均と標準偏差、および、全体に対する割合を推定します。
,
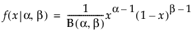
, 

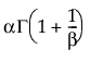
はベータ関数です。
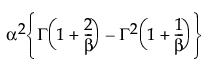
,
,
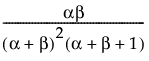
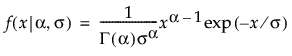
はガンマ関数です。
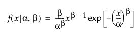
,
,
,
(ここで
は標準正規分布の確率密度関数です。




, 

はガンマ関数です。