JMP 14.2オンラインマニュアル
はじめてのJMP
JMPの使用法
基本的な統計分析
グラフ機能
プロファイル機能
実験計画(DOE)
基本的な回帰モデル
予測モデルおよび発展的なモデル
多変量分析
品質と工程
信頼性/生存時間分析
消費者調査
スクリプトガイド
スクリプト構文リファレンス
JMP iPad Help (英語)
JMP Interactive HTML (英語)
機能インデックス
JMP統計機能ガイド
このバージョンのヘルプはこれ以降更新されません。最新のヘルプは
https://www.jmp.com/support/help/ja/15.2
からご覧いただけます。
品質と工程
•
統計的管理図
•
「管理図」プラットフォームの統計的詳細
• EWMA管理図の管理限界
前へ
•
次へ
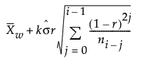
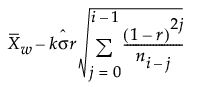
EWMA管理図の管理限界
EWMA管理図の管理限界は、次のように計算されます。
下側管理限界(LCL)=
上側管理限界(UCL)=
ここで
r
は、指数加重移動平均における重みパラメータ(0 <
r
≤
1)
x
ij
は、
i
番目のサブグループの
j
番目の測定値(
j
= 1、2、3...
n
i
)
n
i
は、
i
番目のサブグループの標本サイズ
k
は、標準偏差に対する乗数
X̅
w
は、サブグループ平均の重み付き平均
は、工程の標準偏差の推定値