「寿命の二変量」プラットフォームを起動するには、[分析]>[信頼性/生存時間分析]>[寿命の二変量]を選択します。
図4.4 「寿命の二変量」起動ウィンドウ
イベントが発生するまでの時間(故障が生じるまでの時間)、または打ち切りまでの時間の列を指定します。区間打ち切りデータの場合は、上限と下限として2つのY変数を指定します。打ち切りの詳細は、「寿命の一変量」章の「イベントプロット」(32ページ)を参照してください。
故障分布と加速因子との関係を指定します。「関係」オプションのモデルに、各関係のモデルの定義を示します。
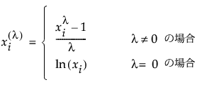
[Box-Cox]を選択した場合、[使用条件]オプションの下にテキスト編集ボックスが表示されます。このボックス使用して、λの値を特定します。特定のλにおけるBoxCox(X)変換は次の式で定義されます。
メモ: 環境設定における「信頼区間の方法」において、信頼区間を計算するデフォルトの方法を[尤度]法に変更することもできます。この環境設定は、[環境設定]>[プラットフォーム]>[寿命の二変量]で変更できます。

