|
1.
|
|
2.
|
|
3.
|
「故障までの時間」を[Y, イベントまでの時間]に指定します。
|
|
4.
|
「原因コード」を[故障原因]に指定します。
|
|
5.
|
「信頼区間の方法」を[尤度]にします。
|
|
6.
|
[パラメータ指定の分布も使用する]を選択します。
|
|
7.
|
[OK]をクリックします。
|
図3.23 原因1を削除したパラメータ指定モデル
|
9.
|
「パラメトリック推定 - Weibull」の赤い三角ボタンから[分布パラメータの指定]を選択します。
|
|
10.
|
|
11.
|
[更新]をクリックします。
|
図3.24 Weibull βを指定したパラメータ指定モデル
「パラメトリック推定値 - Weibull」レポートで、βを2と仮定すると、パラメータαは22463.391と推定されます。以下の操作により、この分布を原因1の故障分布に使用します。
|
13.
|
原因1の「除去」ボタンを選択解除します。
|
|
14.
|
原因1の分布に、[パラメータ指定 Weibull]を選択します。
|
|
15.
|
[モデルの更新]をクリックします。
|
図3.25 原因1が表示された更新モデル
故障原因にBayesモデルを指定するには、第 “競合原因分析でのパラメータ指定”の手順と同じような手順に従います。各原因に対する「寿命の一変量」の「統計量」の「パラメトリック推定」における「Bayes推定」レポートで、Bayesモデルを指定します。第 “Bayes推定 - <分布の名前>”を参照してください。
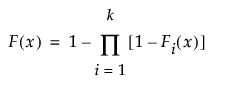
ある原因に対してBayes推定が適用された場合、全体の累積分布関数を求めるのに乱数シミュレーションが利用されます。たとえば、2つの故障原因があるとします。1 つ目の原因には通常のWeibull分布を最尤推定し、2 つ目の原因ではWeibull分布をBayes推定したものを用いるとします。このとき、1つ目の原因においては、パラメータベクトルθ1を推定するのに最尤法が使われます。一方、2つ目の原因においては、パラメータベクトルθ2の事後分布を求めるのにBayes推定が使われます。
|
•
|
|
•
|
から、全体の累積分布関数における中央値や分位点を求めます。これらの中央値や分位点が、分布プロファイルにおいて、対応するx値のところにプロットされます。 |
故障原因にWeibayesモデルを指定する手順は、第 “競合原因分析でのパラメータ指定”の手順と同様です。まず、各原因に対する「寿命の一変量」の「統計量」の「パラメトリック推定 - Weibull」レポートで、[分布パラメータの指定]を選択してください。そして、「分布パラメータの指定」レポートで、「Weibayes」オプションにチェックを入れてください。競合原因分析においてはWeibayesモデルがBayesモデルとして処理され、パラメータαの事後分布からブートストラップ標本が抽出されます。Liu and Wang(2013)を参照してください。
信頼区間を計算するために、最尤推定値の漸近分布、またはBayes推定における事後分布のどちらかに基づいて、シミュレーションがn回、行われます。1回のシミュレーションごとにm個の乱数が生成され、そのm個の乱数から平均余寿命が計算されます。そして、n個の平均余寿命から、信頼区間が計算されます。
|
–
|
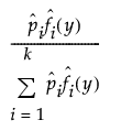
観測値yが打ち切りデータではない場合、保存される値は次のように求められます。
|

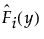
は、個々の原因における累積分布関数です。信頼限界も簡単に計算できます。関係する推定値がすべて最尤推定値だからです。


の中央値や分位点は、次のように求められます。
の漸近分布から標本を乱数で生成します。
に対する漸近分布から生成された値を
とします。
とします。
と
の各セットに対して、
に対する推定値
を求めます。
から、全体の累積分布関数における中央値や分位点を求めます。これらの中央値や分位点が、分布プロファイルにおいて、対応する
は、混合の割合
は、累積分布関数
は、
(右側打ち切りの場合)
(左側打ち切りの場合)
(区間打ち切りの場合)