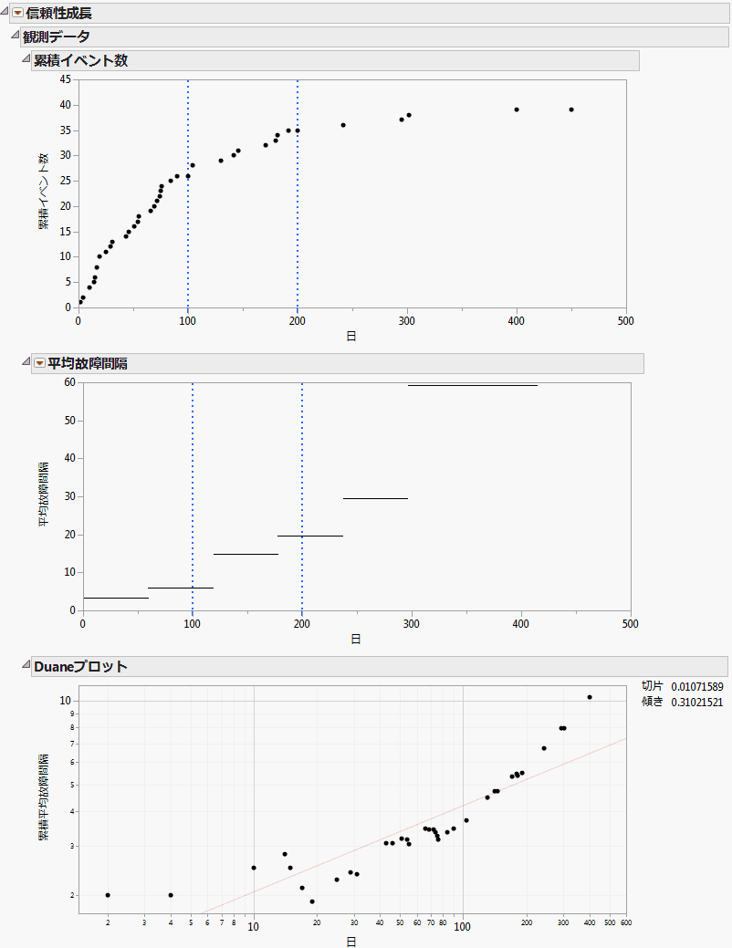
「観測データ」レポートには、デフォルトで、「累積イベント数」グラフ・「平均故障間隔」グラフ・「Duaneプロット」が含まれます。「観測データ」レポートは、「平均故障間隔」グラフと「Duaneプロット」を開いた状態のレポートです。このレポートを作成するには、第 “「信頼性成長」プラットフォームの例”の手順に従います。
図10.7 「観測データ」レポート
|
•
|
表に表示されている「切片」の値は、解釈しやすいように、自然対数スケールで推定したときの切片となっています。具体的に言えば、説明変数を自然対数スケールの時間、応答変数を自然対数の累積平均故障間隔としたときの回帰モデルです。「切片」の値は、log(1) = 0における回帰式の予測値です。ここで、logは自然対数です。常用対数で変換したデータでの切片を求めるには、この「切片」の値をlog(10)で割ります。詳細については、Tobias and Trindade(2012, ch. 13)を参照してください。
|
