区間打ち切りでないデータの場合、初期状態のレポートには、「要約」と「分位点」のデータが表示されます(一変量生存時間分析の要約統計量)。「要約」データには、グループごと(グループがある場合)、およびデータ全体に対する故障数と打ち切り数が表示されています。他には、打ち切りを考慮して計算した生存時間の平均と標準誤差があります。これらの統計量の計算方法については、『SAS/STAT User’s Guide 14.3』(2017)を参照してください。
図13.15 一変量生存時間分析の要約統計量
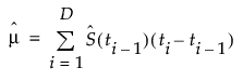
Dは、イベントが発生した時間の時点数
複数のグループがある場合、「グループ間での検定」表に、グループ間を比較する検定が表示されます。統計量や生存曲線の比較については、Kalbfleisch and Prentice(1980, ch. 1)、Hosmer and Lemeshow(1999, ch. 2)、Klein and Moeschberger(1997, ch. 7) で取り上げられています。
図13.16 グループ間での検定
「ログランク」検定は、長い生存時間に対して、より大きな重みを置く検定で、比較されるグループのハザード関数の比がほぼ一定である場合に適しています。「ハザード」とは、ある特定の時点における瞬間故障率を指し、 死亡率(mortality rate)、死力(force of mortality)とも呼ばれます。
「Wilcoxon」検定は、短い生存時間に対して、より大きな重みを置く検定で、誤差がロジスティック分布に従っている場合に最適な順位検定です。Kalbfleisch and Prentice(1980)を参照してください。
「生存率の推定」表の例は、あるグループにおけるKaplan-Meier法による生存率の推定を行った結果です。
図13.17 「生存率の推定」表の例

。また、標準誤差
は、
,
および
です。
は、時間
