元のテーブルの数値列から計算した要約統計量の列を追加するには、[統計量]ボタンをクリックして、メニューからオプションを選びます。
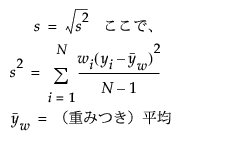
平均の標準誤差です。つまり、標準偏差をNの平方根で割った値です。列に「重み」役割が割り当てられている場合、分母は重みの和の平方根です。
データの積のn乗根。利子の計算などによく使われます。この統計量は、データの中に歪んだ分布の大きな値が含まれている場合にも便利です。
