この節では、3つの分解オプションで作成されるレポートについて解説します。
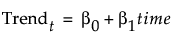
「線形トレンド」レポートには、データにあてはめられた線形回帰モデルにおけるb0とb1の推定値が表示されます。

線形トレンドを除去した後の時系列は、Dt = Ot - Trendtです。この式で、Otは原系列です。
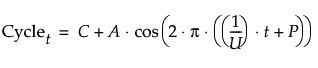
「周期性」レポートには、次式で表される周期性モデルのパラメータ推定値が表示されます。

モデルのパラメータや変数は、次のように定義されます。
• Cは、定数(この定数を加えるかどうかはオプション指定)
• Aは、余弦波の振幅
• Uは、1周期における時点数
• Pは、余弦波のフェーズ
• tは、特定の観測値の行番号から1を引いた値
周期性を除去した後の時系列は、Dt = Ot - Cycletです。この式で、Otは、原系列です。
乗法型を選択した場合には「X11 - 乗法的」レポートが、加法型を選択した場合には「X11 - 加法的」レポートが追加されます。これらのレポートには、次に示す4つのプロットが含まれています。
原系列と調整済み系列
X11法で季節調整した時系列が、元の時系列Otと重ね合わせてプロットされたグラフです。X11法で季節調整した値は、乗法型調整の場合は、Ot/St、加法型調整の場合は、Ot - Stです。
D10 - 最終季節要因
季節項Stを時系列にプロットしたグラフです。
D12 - 最終トレンド
トレンド項Ctを時系列にプロットしたグラフです。
D13 - 最終不規則系列
不規則項(誤差項; irregular components)Itを時系列にプロットしたグラフです。
X11レポートの赤い三角ボタンのメニューには、次のようなオプションがあります。
各表の表示
X11法で求められた結果の表の表示/非表示を切り替えます。この要約表は、Shiskin et. al.(1967)に記述されているとおりです。表は、表17.1のような5つのカテゴリ(B~F)に分類されます。
列の保存
季節調節済み系列、季節項(St)、トレンド項(Ct)、不規則項(It)を含んだ4つの列をデータテーブルに保存します。
すべての列を保存
[各表の表示]オプションで作成された表のすべての列をデータテーブルに保存します。
|
接頭辞 |
表の内容 |
|---|---|
|
B |
季節項・トレンド項・不規則項の予備的な推定値 |
|
C |
季節項・トレンド項・不規則項の中間推定値 |
|
D |
季節項・トレンド項・不規則項の最終的な推定値 |
|
E |
分析表 |
|
F |
要約指標 |
X11法の各表の詳細については、Shisken et. al.(1967)、または『SAS/ETS 13.1 User’s Guide』(「The output from PROC X11」で検索してください)を参照してください。