「計画の診断統計量」アウトラインには、比較対象の計画に対する基準の計画のD効率・G効率・A効率・I効率が表示されます。「追加実験のサイズ」も表示されます。2つの計画を比較したとき、相対効率の指標が高い方が良い計画といえます。
図16.29 3つの計画の診断統計量
図16.29は、異なる実験回数の計画で作成された、「モデル」アウトラインに主効果だけを含む3つの計画の「計画の診断統計量」レポートです。
「計画の診断統計量」は、表の下にあるカラーバーで示されている色で色付けされています。「計画の診断統計量」の赤い三角ボタンのメニューで、色の設定を変更できます。カラーバーを参照してください。
「計画の診断統計量」レポートには、D効率・G効率・A効率・I効率に関して、相対効率が求められています。相対効率は、各計画の効率を計算し、それらの比を求めたものです。相対効率については、相対効率の指標を参照してください。
「追加実験のサイズ」は、基準の計画における実験回数から、比較対象の計画における実験回数を引いたものです。基準の計画における実験回数が、比較対象の計画における実験回数より多い場合、「追加実験のサイズ」は正の値になります。
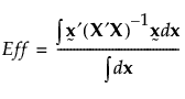
• Xは、モデル行列
• pは、切片を含めたモデル項の数
•
は、点
における相対的な予測分散。相対的な予測分散を参照してください。
比較対象の計画(Comp)に対する基準の計画(Ref)の相対効率は、次の式によって計算されます。
D効率
EffRef / EffComp 。この式で、各計画のEffは、次の式で計算されます。

G効率
EffComp / EffRef 。この式で、各計画のEffは、次の式で計算されます。

ここで、Dは計画領域を指します。
注: 「G効率」は、計画領域のモンテカルロ標本を使って計算されます。
(予測分散の最大値)は、モンテカルロ標本における最大値から求められています。そのため、同じ計画でも結果が若干異なることがあります。
A効率
EffComp / EffRef 。この式で、各計画のEffは、次の式で計算されます。

I効率
EffComp / EffRef 。この式で、各計画のEffは、次の式で計算されます。

計算について詳しくは、Goos and Jones(2011)の節4.3.5を参照してください。