「カスタム検定」の例では、「Cholesterol.jmp」サンプルデータを使って、次の3つの比較を行いました。
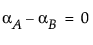
• A群と、B群
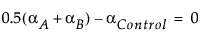
• A群とB群の平均と、コントロール群
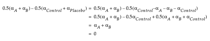
• A群とB群の平均と、コントロール群とプラシボ群の平均
「カスタム検定」の列に入力する係数を導き出すには、次のような計算を行います。ここで、4群の効果を表すパラメータを、それぞれaA、aB、aControl、aPlaceboとします。これらのパラメータは合計が0になるような制約が課されています。「カスタム検定」で表示されているパラメータは、4つのうち、最初の3つだけです。よって、最初の3つのパラメータに対する係数を求める必要があります。カスタム検定の例に関する詳細およびパラメータの解釈を参照してください。
上述した比較を、パラメータを使って表すと、次のようになります。
• A群と、B群:

• A群とB群の平均と、コントロール群:

• A群とB群の平均と、コントロール群とプラシボ群の平均:

最後の係数を求めるには、計算が必要です。4つのパラメータは合計すると0なので、
という制約が課せられています。これをプラセボ群のパラメータについて解くと、
となります。これを、上式の左辺に代入して計算すると、下式の中辺のようになります。
