次の例は、Byrne and Taguchi(1986)が論述した実験です。この実験の目的は、ナイロンチューブの粘着力(引っ張り強度)を最大化するような制御因子の最適な設定を見つけることです。3つの誤差因子に対して4つの制御因子を評価します。
この例では、次のような制御因子を使用します。
結合部長さ
チューブとコネクタの締めしろ(結合部分の長さ)。3水準の制御因子。
高さ
コネクタのブラケットの高さ。3水準の制御因子。
奥行き
チューブをコネクタに差し込む奥行き。3水準の制御因子。
粘着率
粘着率。3水準の制御因子。
この例では、次のような誤差因子を使用します。
時間
固定するまでの待ち時間。2水準の誤差因子。
温度
温度。2水準の誤差因子。
湿度
相対湿度。2水準の誤差因子。
1. [実験計画(DOE)]>[古典的な計画]>[タグチ配列]を選択します。
2. [ヘルプ]>[サンプルデータライブラリ]を選択し、「Design Experiment」フォルダにある「Byrne Taguchi Factors.jmp」を開きます。
3. 「タグチ配列」ウィンドウで、「タグチ計画」の赤い三角ボタンをクリックし、[因子のロード]を選択します。
すると、「因子」パネルに3水準の制御因子4つと誤差因子3つが表示されます。
注: 応答に対して選択した「目標」により、計画データテーブルに追加されるSN比の式が決まります。
4. 内側配置に[L9-Taguchi]が選択されていることを確認します。
5. 外側配置計画に[L8]を選択します。
図14.2 設定後の「タグチ計画」ウィンドウ
6. [続行]をクリックします。
7. [テーブルの作成]をクリックすると、図14.3のような計画テーブルが表示されます。
内側配置は、3水準の制御因子4つに対し、実験回数が9です。制御因子の設定は、テーブルの最初の4列に表示されています。
外側配置計画は、2水準の誤差因子3つの完全実施要因計画です。その外側配置計画は、データテーブルの8列を占めています。列名は、外側配置の実験パターンを示します。たとえば、「---」という列は、すべての誤差因子が低水準に設定されたときの結果を入力する列です。誤差因子の8つの組み合わせのそれぞれで9回の実験が行われるため、合計72の実験が行われます。
図14.3 データを入力する前のタグチ計画
計画テーブルには、72回の実験の結果を入力できます。
8. [ヘルプ]>[サンプルデータライブラリ]を選択し、「Design Experiment」フォルダにある「Byrne Taguchi Data.jmp」を開きます。
図14.4 タグチ計画による実験データのテーブル(Byrne Taguchi Data.jmp)
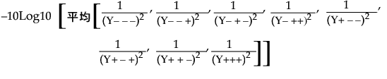
「SN比Y」列は、応答が大きい法が良い場合(望大特性の場合)のSN比です。この望大特性のSN比は、応答値の逆数から平均平方を求め、その常用対数に-10を掛けたものです。

個々のYの応答値がどれも大きいとき、この望大特性のSN比は大きくなります。つまり、この望大特性のSN比から、誤差因子のすべての設定において応答値が安定して大きくなるような制御因子の設定を見つけることができます。
次に、データの分析を行います。分析の目標は、平均とSN比の両方を最大化する因子設定を見つけることです。
1. 「Byrne Taguchi Data.jmp」データテーブルで、「モデル」スクリプトの緑の三角ボタンをクリックして、スクリプトを実行します。
図14.5 「Byrne Taguchi Data.jmp」の「モデルのあてはめ」起動ウィンドウ
スクリプトが「モデルのあてはめ」ウィンドウを開きます。設定されたモデルには、主効果として4つの制御因子が含まれており、また応答変数として平均(「平均 Y」)とSN比(「SN比Y」)が指定されています。
2. [実行]をクリックします。
レポートの下部にある「予測プロファイル」では、この実験でSN比が最も高くなる設定をすばやく見つけることができます。
図14.6 予測プロファイル
3. 「予測プロファイル」の赤い三角ボタンをクリックし、[最適化と満足度]>[満足度関数]を選択します。
満足度関数のトレースを描いた行と、満足度関数を設定する列が、プロファイルに追加されます(図14.7)。この例では、デフォルトで満足度関数は「望大特性」となっています。このデフォルトの設定をそのまま使います。予測プロファイルの満足度関数の詳細については、『プロファイル機能』のプロファイルを参照してください。
4. 「予測プロファイル」の赤い三角ボタンをクリックし、[最適化と満足度]>[満足度の最大化]を選択します。
図14.7 「Byrne-Taguchiデータ」の最適因子設定
この例での最適な設定は、「結合部長さ」と「高さ」が2、「奥行き」が3、「粘着率」が1です。このように設定すると、平均の予測値は22.8、SN比は26.9になります。