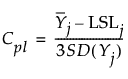
ここでは、ゴールプロットにおける各点の座標である、仕様限界で正規化した平均のシフトと、仕様限界で正規化した標準偏差の計算方法について説明します。この節では、ゴールプロットと工程能力箱ひげ図の表記法で定義した表記を使用します。
j番目の列に対し、仕様限界で正規化した平均のシフトと仕様限界で正規化した標準偏差は、次のように定義されます。
仕様限界で正規化した平均 = 
仕様限界で正規化した標準偏差 = 
注: LSLjとUSLjのどちらかが欠測値の場合、目標値から欠測値以外の仕様限界までの距離の2倍が、ゴールプロットの座標の分母になります。
工程に、下側仕様限界と上側仕様限界があり、目標値がないとしましょう。その場合、ゴールプロットで説明した式が使用されますが、Tjは2つの仕様限界の中間点の値で置き換えられます。
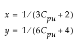
工程に、片側の仕様限界しかなく、目標値もないとしましょう。その場合、ゴールプロットにおける点の(x,y)座標は、その工程の工程能力指数から算出されます。(正規分布を仮定した、平均と標準偏差から求める工程能力指数については、正規分布の工程能力指数を参照してください。)片側の工程能力指数の定義は、次のとおりです。


工程に上側と下側の仕様限界があり、目標値がその中間点の値である場合は、ゴールプロットにおける点の(x,y)座標は、次のような関係を満たします。


仕様限界が片側にしかなく、目標値もない工程について座標を求める場合は、これらの関係が使用されます。しかし、これだけでは点の座標が一意に定まりません。そこで、点を一意に定めるために、原点とその点とをつなぐ直線の傾きを決めています。その傾きを、上側仕様限界しかない場合には0.5、下側仕様限界しかない場合は-0.5にしています。なお、このような設定においても、ゴールプロットの三角形を調節するPpkのスライダが1に設定されていれば、工程能力指数が1に等しい工程の点はゴールプロットの三角形上にプロットされます。
ある工程に、上側の仕様限界しかなく、目標値もないとしましょう。(x,y)座標が0.5の傾きを持ち原点から延びる直線上にあると制約すると、(x,y)座標は次のようになります。

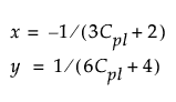
ある工程に、下側の仕様限界しかなく、目標値もないとしましょう。(x,y)座標が-0.5の傾きを持ち原点から延びる直線上にあると制約すると、(x,y)座標は次のようになります。

注: 上の式において、-0.6より小さいCpuやCplは、-0.6に設定されます。上の式では、-2/3になると、xの分母が0になってしまいます。工程能力指数の下限を-0.6に制限することで、分母が0になってしまったり、符号が変わったりする問題を回避できます。