すべての因子が変量効果であるモデルは、変量効果モデルと呼ばれています(変量効果を参照してください)。変量効果モデルは、分散成分モデルとも呼ばれています。変量効果モデルは、多くの場合、因子が階層的になっています。固定効果と変量効果の両方を含んでいるモデルは、混合モデル、もしくは、混合効果モデルと呼ばれています。反復測定モデルや分割実験モデルは、混合モデルの特殊なケースです。単に混合モデルと言った場合、そのなかには変量効果モデルも含まれます。
混合モデルをあてはめるには、「モデルのあてはめ」起動ウィンドウで変量効果を指定しなければなりません。ただし、モデル効果がすべて変量効果の場合は、「計量値/計数値チャート」プラットフォームでモデルをあてはめることもできます。「計量値/計数値チャート」プラットフォームでは、特定のモデルのみをあてはめることができます。「計量値/計数値チャート」プラットフォームで使用されている推定方法では、分散の推定値が負になることを禁止しています。「計量値/計数値チャート」プラットフォームでの分散成分モデルのあてはめに関する詳細は、『品質と工程』の計量値用ゲージチャートと計数値用ゲージチャートを参照してください。
変量効果とは、「その水準が、母集団から無作為抽出された標本である」と見なされる効果です。ある因子を変量効果として扱う状況では、1つ1つの特定の水準が与える効果を推定するのに関心があるのではなく、水準が与える効果のばらつき具合(分散成分)に関心があります。ただし、変量効果における特定の1つの水準がもつ効果を予測することもできます。モデルとしては、変量効果は平均が0の正規分布に従うと仮定されます。
たとえば、2基の炉について、部品を鋳造したときの収縮に違いがあるかどうかに関心があるとします。1基の炉で1バッチで処理される部品は、50個だとします。各炉につき3バッチで収縮率を調べることにします。さらに、50個の各バッチから無作為抽出して、5個の部品についてのみ寸法を測定します。
この実験では、全部で6バッチでのデータが使われます(各炉につき、3バッチが処理されます。各炉で処理される3バッチは異なるもので、バッチは炉からの枝分かれ効果となっています)。この実験のモデルに、炉とバッチの効果を含めるとします。分析者は、実験に用いた2つの炉がもつ効果に関心があります。その場合、炉は固定効果とするのが自然でしょう。一方、バッチについては、実験に用いた6つのバッチそのものには分析者は関心がありません。実験に用いたバッチは、より大きな母集団から無作為に抽出されたものなので、そのことを考慮したモデルにしたほうがよいでしょう。その場合、バッチは変量効果とするのが自然です。バッチを変量効果とした場合、母集団におけるバッチの効果のばらつきが分析対象となり、バッチの違いによって応答が母集団でどれぐらい変動するかが推定されます。(なお、「バッチ」は「炉」から枝分かれしている点に注意してください。ここでの例では、あるバッチはいずれかの炉の1つだけで処理されます。)
別の例として、2つの飼育法を比較するために、ニワトリの卵の重さを時系列で調べるとします。そこで、10羽のニワトリに無作為に飼育法A、Bのいずれかを割り付けます(5羽にAを、残りの5羽にBを割り付けます)。これら10羽のニワトリには、遺伝などの個体差があります。10羽のニワトリにおける個体差は、実験者によって制御や変更はできません。このような場合は、ニワトリの効果は変量効果とみなすほうが自然でしょう。
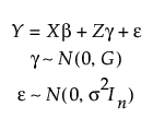
JMPは、次式で表される線形混合モデルをあてはめます。

ここで、
• Yは、応答ベクトル(n x 1ベクトル)
• Xは、固定効果に対する計画行列(n x p行列)
• bは、計画行列Xに対する未知の固定効果パラメータ(p x 1ベクトル)
• Zは、変量効果に対する計画行列(n x s行列)
• gは、計画行列Zに対する変量効果(s x 1ベクトル。値は観測されない)
• eは、誤差ベクトル(n x 1ベクトル。値は観測されない)
• Gは、変量効果の分散を表す行列(s x s行列)。変量効果の各水準に対して同一の要素を持ちます。
• Inは、n x nの単位行列
• gとeは、独立に分布
Gの対角要素と、誤差分散s2は、分散成分と呼ばれています。これらの分散成分は、固定効果パラメータbとともに、推定対象のモデルパラメータです。なお、変量効果gに対しても、推定されたモデルパラメータに基づき、予測値を算出することができます。
JMPの[標準最小2乗]手法でサポートされている変量効果の共分散構造は、分散成分構造(SAS Institute Inc. 2018d, ch. 81)だけです。一般的な線形混合モデルには様々な共分散構造がありますが、JMPの[標準最小2乗]手法でサポートされているのは、分散成分構造のみです。
JMP Proの[混合モデル]手法では、誤差部分の共分散構造に対して、1次の自己相関(AR(1))無構造(unstrucured)、空間構造といった構造が用意されています。[反復構造]タブを参照してください。
JMPには、変量効果のあるモデルの推定方法として、次の2つが用意されています。
• REML法(制限最尤法)。常に、こちらの推定方法を使うことを推奨します。
• EMS法(期待平均平方法)。古典的な教科書で説明されている方法を確認するのに使用してください。
混合モデルの推定方法には、従来、EMS法が使われてきましたが、現在はREML法が主流です。REML法は、扱えるモデルや推定した後の統計分析において、EMS法よりも汎用的です。REML法はPatterson and Thompson(1974)で提案されました。Wolfinger et al.(1994)およびSearle et al.(1992)を参照してください。
EMS法はモーメント法とも呼ばれ、性能が高いコンピュータが登場する以前にも使われていました。研究者たちは、特にバランスの取れたデータ(釣合い型データ)でEMS法を愛用しました。バランスの取れたデータだと、EMS法の計算は単純になり、簡単な計算によって、混合モデルを推定することができるからです。多くの教科書では、変量効果を含むモデルを紹介するのにまだEMS法が使用されているため、JMPでもEMS法のオプションを用意しています(McCulloch et al., 2008; Poduri, 1997; Searle et al., 1992などを参照してください)。
REML法では、固定効果パラメータに依存しない制限された尤度関数を最大化することにより、分散成分の推定値を求めます。そして、推定された分散成分の値に基づき、固定効果の推定値を求めます。パラメータ推定量の共分散行列も推定され、それに基づき標準誤差などが算出されます。データのバランスが取れていない場合でも、REML法では汎用的に妥当な結果(推定値、検定、および信頼区間)が得られます。
EMS法では、平均平方の期待値と、分散成分の線形結合との関係式に基づき、その期待値の部分に観測された平均平方を代入することにより、分散成分の推定値を求めます。この方法は、バランスの取れたデータでは、妥当な推定結果が得られます。EMS法をバランスの取れていないデータに適用すると問題があるかもしれません。
バランスの取れたデータに対しては、REML法とEMS法による推定結果は同じです。しかし、EMS法とは異なり、REML法はバランスの取れていないデータに対しても汎用的に妥当な結果が得られます。
変量効果の指定は、「モデルのあてはめ」起動ウィンドウで行えます。ある効果が変量効果であることを指定するには、「モデル効果の構成」リストの中からその効果を選択し、[属性]>[変量効果]を選択します。すると、モデル効果リストの中に表示されているその効果名の後ろに、「&変量効果」というラベルが追加されます(変量効果の定義については、変量効果を参照してください)。変量効果は個別のタブでも指定できます(「モデル効果の構成」のタブを参照してください)。
「モデルのあてはめ」起動ウィンドウで、いずれかの効果を変量効果とし、その効果に「&変量効果」というラベルが付けられたら、[REML(推奨)]または[EMS(従来)]のいずれかを選択できるようになります。
警告: 各効果が、交差であることや、枝分かれであることは、きちんと指定してください。たとえば、ある臨床試験において、各患者はいずれかの群に割り振られるとします。このとき、患者IDは各群からの枝分かれ効果となっています。特にEMS法を用いる場合は、たとえ患者IDだけによって一意に各患者を識別できるとしても、群からの枝分かれ効果として定義しなければいけません。
分散成分をパラメータ化するには、無制限法と制限法の2つの方法があります。これらの方法の違いは、固定効果と変量効果との交互作用で生じます。(このような固定効果と変量効果の交互作用は、変量効果とみなされます)。
制限法では、そのような交互作用において、変量効果の各水準で、固定効果の合計が0 であると仮定されます。一方、無制限法では、そのような交互作用は、平均が0の同一で独立な正規分布に沿う確率変数であると仮定されます(この仮定は、誤差に対する通常の仮定と同じです)。
JMPとSASが採用しているのは無制限法です。数多くの統計の教科書が制限法を使用しているので、この区別は重要です。どちらの方法も60年前から広く普及しているものです(これらの手法については、Cobb, 1998, Section 13.3を参照してください)。
母分散そのものは常に正の値ですが、REML法やモーメント法では、分散に対する推定値が負になることがあります。推定値が負になるのは、変量効果の母分散が小さいか、または、変量効果の水準が少ない場合です。そのような場合は、観測されたデータから計算された分散推定値が、偶然によって、負になることがあります。
REML法とEMS法のどちらでも、分散成分の推定値が負になることがあります。「モデルのあてはめ」起動ウィンドウでREML法を選択した場合、[分散成分の範囲制限なし]というチェックボックスが表示されます。この[分散成分の範囲制限なし]オプションは、デフォルトで選択されています。このオプションのオフにすると、分散成分の推定値が0以上の値に制限されます。
固定効果に対して検定を行う場合は、[分散成分の範囲制限なし]オプションをオンのままにしておいてください。分散成分の推定値を0以上に制約すると、固定効果の検定にバイアス(偏り)が生じる可能性があります。
[分散成分のみ推定]オプションを選択すると、「REML法による分散成分推定値」レポートだけが表示されます。固定効果の検定などには興味がなく、分散成分だけに興味がある場合は、分散成分の推定値を0以上に制約したほうがよいでしょう。分散成分の推定値を0以上に制約し、固定効果などの結果を表示しないようにするには、[分散成分の範囲制限なし]オプションの選択を解除し、[分散成分のみ推定]オプションを選択します。